Applied Machine Learning
summary responsibly.embed-resources option in Quarto.http://guessthecorrelation.com/ …my high score is 72 (Jameson 122)

model <- lm(lprice~points, filter(wine,province=="Oregon"))
pct = (exp(coef(model)["points"]) - 1) * 100
c(coef(model)["points"],pct) points points
0.09396111 9.85170227
9.85%m_yr <- lm(lprice~year, filter(wine,province=="Oregon"))
yr = (exp(coef(m_yr)["year"]) - 1) * 100
c(coef(m_yr)["year"],yr) year year
0.01895092 1.91316309
for(v in c("Chardonnay", "Pinot Gris","Pinot Noir")){
m <- lm(lprice~points, filter(wine,province=="Oregon", variety==v))
pct <- round((exp(coef(m)["points"]) - 1) * 100,2)
print(str_c("For ",v,", a 1 point ratings increase leads to a ",pct,"% increase in price."))
}[1] "For Chardonnay, a 1 point ratings increase leads to a 11.34% increase in price."
[1] "For Pinot Gris, a 1 point ratings increase leads to a 5.46% increase in price."
[1] "For Pinot Noir, a 1 point ratings increase leads to a 10.27% increase in price."
Call:
lm(formula = price ~ lpoints, data = filter(wine, province ==
"Oregon") %>% mutate(lpoints = log(points)))
Coefficients:
(Intercept) lpoints
-1419.0 324.4
Note: \[ x/100 \]
Call:
lm(formula = lprice ~ lpoints, data = filter(wine, province ==
"Oregon") %>% mutate(lpoints = log(points)))
Coefficients:
(Intercept) lpoints
-33.770 8.298
…a 1% increase in ratings equals a 8.3% increase in price on average
(tmp <- wine %>%
filter(province=="Oregon") %>%
filter(variety %in% c("Chardonnay","Pinot Noir","Pinot Gris")) %>%
group_by(variety) %>%
summarise(mean=mean(points)))# A tibble: 3 × 2
variety mean
<chr> <dbl>
1 Chardonnay 89.7
2 Pinot Gris 88.5
3 Pinot Noir 89.5
model <- lm(points~variety,
filter(wine,province=="Oregon",variety %in% c("Chardonnay","Pinot Noir","Pinot Gris")))
get_regression_table(model)# A tibble: 3 × 7
term estimate std_error statistic p_value lower_ci upper_ci
<chr> <dbl> <dbl> <dbl> <dbl> <dbl> <dbl>
1 intercept 89.7 0.122 737. 0 89.5 90.0
2 variety: Pinot Gris -1.24 0.177 -7.03 0 -1.59 -0.894
3 variety: Pinot Noir -0.256 0.132 -1.94 0.053 -0.515 0.003
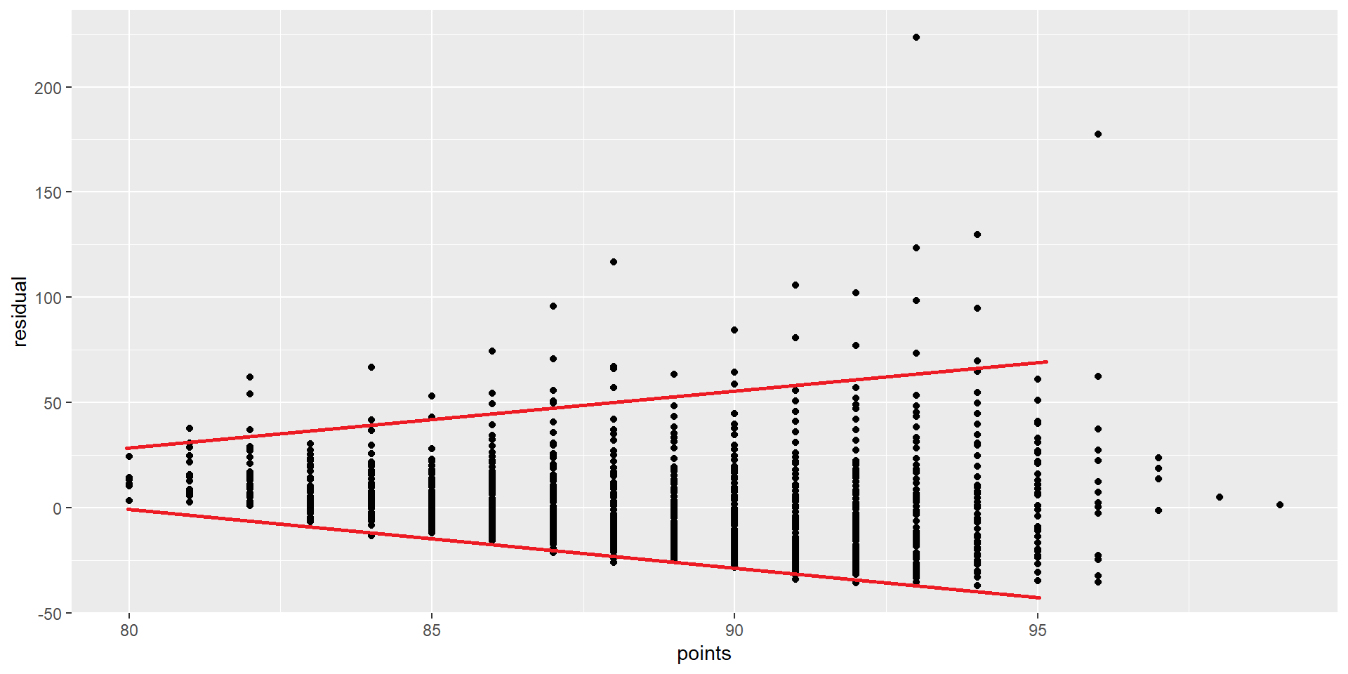
What would the residuals look like?
Given our original model of \[ \log(\text{price})=m*\text{Points}+b \]
are there any problems with independence?
How could we check?
Credit: Modern Dive (click)
\[ y(\lambda) = \frac{x^{\lambda}-1}{\lambda} \]
\[ y(\lambda) = \frac{x^{\lambda}-1}{\lambda} \]
\[ y(1) = \frac{x^{\lambda}-1}{\lambda} = \frac{x^{1}-1}{1} = x-1 \approx x \]
\[ f = y(-1) \implies f(x) \approx x \]
\[ y(0) = \frac{x^{\lambda}-1}{\lambda} = \frac{x^{0}-1}{0} \]
\[ f = y(0) \implies f(x) \approx \log(x) \]
for (x in 1:3) {
print(x/10)
for (l in 3:1) {
f = y(l/100)
print(c(l/100, x/10, f(x/10), log(x/10), f(x/10) - log(x/10)))
}
}[1] 0.1
[1] 0.03000000 0.10000000 -2.22485664 -2.30258509 0.07772845
[1] 0.02000000 0.10000000 -2.25037070 -2.30258509 0.05221439
[1] 0.01000000 0.10000000 -2.27627790 -2.30258509 0.02630719
[1] 0.2
[1] 0.0300000 0.2000000 -1.5712014 -1.6094379 0.0382365
[1] 0.0200000 0.2000000 -1.5838107 -1.6094379 0.0256272
[1] 0.01000000 0.20000000 -1.59655566 -1.60943791 0.01288225
[1] 0.3
[1] 0.03000000 0.30000000 -1.18248898 -1.20397280 0.02148382
[1] 0.02000000 0.30000000 -1.18959295 -1.20397280 0.01437985
[1] 0.010000000 0.300000000 -1.196754051 -1.203972804 0.007218753
\[ y(.5) = \frac{x^{\lambda}-1}{\lambda} = \frac{x^{.5}-1}{.5} = 2\times(\sqrt{x}-1) \approx \sqrt{x} \]
\[ f = y(.5) \implies f(x) \approx \sqrt{x} \]
\[ y(-1) = \frac{x^{\lambda}-1}{\lambda} = \frac{x^{-1}-1}{-1} = \frac{x^{-1}}{-1}+\frac{-1}{-1} = -x^{-1}-1 \approx x^{-1} \] \[ f = y(-1) \implies f(x) \approx x^{-1} \]
\[ y(\lambda) = \begin{cases} \dfrac{y_i^\lambda - 1}{\lambda} & \text{if } \lambda \neq 0, \\ \ln y_i & \text{if } \lambda = 0, \end{cases} \]
| -3 | Y-3 = 1/Y3 |
| -2 | Y-2 = 1/Y2 |
| -1 | Y-1 = 1/Y1 |
| -0.5 | Y-0.5 = 1/(√(Y)) |
| 0 | log(Y)** |
| 0.5 | Y0.5 = √(Y) |
| 1 | Y1 = Y |
| 2 | Y2 |
| 3 | Y3 |
wine %>%
preProcess(method = c("BoxCox","center","scale")) %>%
predict(wine) %>%
select(-description) %>%
head() province price points year taster_name
1 Oregon 0.7146905 -1.033841 -0.03425331 Paul Gregutt
2 Oregon -1.4139991 -1.033841 0.33313680 Paul Gregutt
3 California 0.8225454 -1.033841 -0.40146088 Virginie Boone
4 Oregon 0.2408520 -1.367723 -0.76848588 Paul Gregutt
5 Oregon -1.2418658 -1.367723 -1.13532834 Paul Gregutt
6 Oregon -1.0109945 -1.367723 1.06846470 Paul Gregutt
But wait… what is wrong here?
wino <- wine %>%
mutate(year_f = as.factor(year))
wino <- wino %>%
preProcess(method = c("BoxCox","center","scale")) %>%
predict(wino)
head(wino %>% select(starts_with("year"))) year year_f
1 -0.03425331 2012
2 0.33313680 2013
3 -0.40146088 2011
4 -0.76848588 2010
5 -1.13532834 2009
6 1.06846470 2015
province price points year year_f_1996 year_f_1997
1 Oregon 0.7146905 -1.033841 -0.03425331 0 0
2 Oregon -1.4139991 -1.033841 0.33313680 0 0
3 California 0.8225454 -1.033841 -0.40146088 0 0
4 Oregon 0.2408520 -1.367723 -0.76848588 0 0
5 Oregon -1.2418658 -1.367723 -1.13532834 0 0
6 Oregon -1.0109945 -1.367723 1.06846470 0 0
Kappa statistic is a measurement of the agreement for categorical items Kappa can be used to assess the performance of kNN algorithm.
\[ \kappa = \dfrac{P(A)-P(E)}{1 - P(E)} \]
where \(P(A)\) is the relative observed agreement among raters, and \(P(E)\) is the proportion of agreement expected between the classifier and the ground truth by chance.
Rule of thumb.
We had ~.9…
province price points year
Length:8380 Min. :-3.31001 Min. :-3.289952 Min. :-5.8877
Class :character 1st Qu.:-0.62250 1st Qu.:-0.696100 1st Qu.:-0.4015
Mode :character Median : 0.05057 Median :-0.009039 Median : 0.3331
Mean : 0.00000 Mean : 0.000000 Mean : 0.0000
3rd Qu.: 0.57013 3rd Qu.: 0.693463 3rd Qu.: 0.7007
Max. : 7.30609 Max. : 2.893605 Max. : 1.0685
year_f_1996 year_f_1997 year_f_1998 year_f_1999
Min. :0.0000000 Min. :0.0000000 Min. :0.000000 Min. :0.000000
1st Qu.:0.0000000 1st Qu.:0.0000000 1st Qu.:0.000000 1st Qu.:0.000000
Median :0.0000000 Median :0.0000000 Median :0.000000 Median :0.000000
Mean :0.0001193 Mean :0.0002387 Mean :0.008353 Mean :0.002029
3rd Qu.:0.0000000 3rd Qu.:0.0000000 3rd Qu.:0.000000 3rd Qu.:0.000000
Max. :1.0000000 Max. :1.0000000 Max. :1.000000 Max. :1.000000
year_f_2000 year_f_2001 year_f_2002 year_f_2003
Min. :0.000000 Min. :0.000000 Min. :0.000000 Min. :0.0000000
1st Qu.:0.000000 1st Qu.:0.000000 1st Qu.:0.000000 1st Qu.:0.0000000
Median :0.000000 Median :0.000000 Median :0.000000 Median :0.0000000
Mean :0.001074 Mean :0.000358 Mean :0.000358 Mean :0.0001193
3rd Qu.:0.000000 3rd Qu.:0.000000 3rd Qu.:0.000000 3rd Qu.:0.0000000
Max. :1.000000 Max. :1.000000 Max. :1.000000 Max. :1.0000000
year_f_2004 year_f_2005 year_f_2006 year_f_2007
Min. :0.000000 Min. :0.00000 Min. :0.00000 Min. :0.00000
1st Qu.:0.000000 1st Qu.:0.00000 1st Qu.:0.00000 1st Qu.:0.00000
Median :0.000000 Median :0.00000 Median :0.00000 Median :0.00000
Mean :0.002029 Mean :0.01539 Mean :0.01957 Mean :0.01432
3rd Qu.:0.000000 3rd Qu.:0.00000 3rd Qu.:0.00000 3rd Qu.:0.00000
Max. :1.000000 Max. :1.00000 Max. :1.00000 Max. :1.00000
year_f_2008 year_f_2009 year_f_2010 year_f_2011
Min. :0.00000 Min. :0.00000 Min. :0.0000 Min. :0.00000
1st Qu.:0.00000 1st Qu.:0.00000 1st Qu.:0.0000 1st Qu.:0.00000
Median :0.00000 Median :0.00000 Median :0.0000 Median :0.00000
Mean :0.02733 Mean :0.04129 Mean :0.0599 Mean :0.06945
3rd Qu.:0.00000 3rd Qu.:0.00000 3rd Qu.:0.0000 3rd Qu.:0.00000
Max. :1.00000 Max. :1.00000 Max. :1.0000 Max. :1.00000
year_f_2012 year_f_2013 year_f_2015 taster_name_jim_gordon
Min. :0.0000 Min. :0.0000 Min. :0.00000 Min. :0.00000
1st Qu.:0.0000 1st Qu.:0.0000 1st Qu.:0.00000 1st Qu.:0.00000
Median :0.0000 Median :0.0000 Median :0.00000 Median :0.00000
Mean :0.1796 Mean :0.2171 Mean :0.09726 Mean :0.06563
3rd Qu.:0.0000 3rd Qu.:0.0000 3rd Qu.:0.00000 3rd Qu.:0.00000
Max. :1.0000 Max. :1.0000 Max. :1.00000 Max. :1.00000
taster_name_matt_kettmann taster_name_other taster_name_roger_voss
Min. :0.0000 Min. :0.00000 Min. :0.0000
1st Qu.:0.0000 1st Qu.:0.00000 1st Qu.:0.0000
Median :0.0000 Median :0.00000 Median :0.0000
Mean :0.1826 Mean :0.06993 Mean :0.1415
3rd Qu.:0.0000 3rd Qu.:0.00000 3rd Qu.:0.0000
Max. :1.0000 Max. :1.00000 Max. :1.0000
taster_name_virginie_boone note_cherry note_chocolate note_earth
Min. :0.0000 Mode :logical Mode :logical Mode :logical
1st Qu.:0.0000 FALSE:5017 FALSE:7830 FALSE:7030
Median :0.0000 TRUE :3363 TRUE :550 TRUE :1350
Mean :0.2223
3rd Qu.:0.0000
Max. :1.0000
Confusion Matrix and Statistics
Reference
Prediction Burgundy California Casablanca_Valley Marlborough New_York
Burgundy 120 42 4 8 3
California 51 582 9 14 5
Casablanca_Valley 2 1 0 0 2
Marlborough 1 5 2 5 4
New_York 0 3 3 2 3
Oregon 64 158 8 16 9
Reference
Prediction Oregon
Burgundy 58
California 201
Casablanca_Valley 1
Marlborough 11
New_York 3
Oregon 273
Overall Statistics
Accuracy : 0.5876
95% CI : (0.5635, 0.6113)
No Information Rate : 0.4728
P-Value [Acc > NIR] : < 2.2e-16
Kappa : 0.348
Mcnemar's Test P-Value : 0.0006799
Statistics by Class:
Class: Burgundy Class: California Class: Casablanca_Valley
Sensitivity 0.50420 0.7358 0.000000
Specificity 0.91986 0.6825 0.996357
Pos Pred Value 0.51064 0.6752 0.000000
Neg Pred Value 0.91794 0.7423 0.984403
Prevalence 0.14226 0.4728 0.015541
Detection Rate 0.07173 0.3479 0.000000
Detection Prevalence 0.14047 0.5152 0.003586
Balanced Accuracy 0.71203 0.7092 0.498179
Class: Marlborough Class: New_York Class: Oregon
Sensitivity 0.111111 0.115385 0.4991
Specificity 0.985872 0.993321 0.7735
Pos Pred Value 0.178571 0.214286 0.5170
Neg Pred Value 0.975684 0.986136 0.7607
Prevalence 0.026898 0.015541 0.3270
Detection Rate 0.002989 0.001793 0.1632
Detection Prevalence 0.016736 0.008368 0.3156
Balanced Accuracy 0.548492 0.554353 0.6363
fit <- train(province ~ .,
data = train,
method = "knn",
tuneLength = 15,
trControl = trainControl(number = 1)) # default bootstrap
fitk-Nearest Neighbors
6707 samples
25 predictor
6 classes: 'Burgundy', 'California', 'Casablanca_Valley', 'Marlborough', 'New_York', 'Oregon'
No pre-processing
Resampling: Bootstrapped (1 reps)
Summary of sample sizes: 6707
Resampling results across tuning parameters:
k Accuracy Kappa
5 0.5585216 0.3107902
7 0.5626283 0.3107703
9 0.5663244 0.3130763
11 0.5860370 0.3396248
13 0.5905544 0.3456984
15 0.5909651 0.3423630
17 0.5938398 0.3434720
19 0.5991786 0.3493659
21 0.6016427 0.3516418
23 0.5995893 0.3472121
25 0.6049281 0.3556879
27 0.6028747 0.3507932
29 0.6032854 0.3504058
31 0.6016427 0.3467558
33 0.6049281 0.3510662
Accuracy was used to select the optimal model using the largest value.
The final value used for the model was k = 33.
Confusion Matrix and Statistics
Reference
Prediction Burgundy California Casablanca_Valley Marlborough New_York
Burgundy 109 24 4 7 1
California 72 682 10 16 9
Casablanca_Valley 0 0 0 0 0
Marlborough 1 0 2 2 1
New_York 1 0 1 0 1
Oregon 55 85 9 20 14
Reference
Prediction Oregon
Burgundy 44
California 248
Casablanca_Valley 1
Marlborough 2
New_York 0
Oregon 252
Overall Statistics
Accuracy : 0.6252
95% CI : (0.6015, 0.6485)
No Information Rate : 0.4728
P-Value [Acc > NIR] : < 2.2e-16
Kappa : 0.3812
Mcnemar's Test P-Value : < 2.2e-16
Statistics by Class:
Class: Burgundy Class: California Class: Casablanca_Valley
Sensitivity 0.45798 0.8622 0.0000000
Specificity 0.94425 0.5975 0.9993928
Pos Pred Value 0.57672 0.6577 0.0000000
Neg Pred Value 0.91307 0.8286 0.9844498
Prevalence 0.14226 0.4728 0.0155409
Detection Rate 0.06515 0.4077 0.0000000
Detection Prevalence 0.11297 0.6198 0.0005977
Balanced Accuracy 0.70112 0.7299 0.4996964
Class: Marlborough Class: New_York Class: Oregon
Sensitivity 0.044444 0.0384615 0.4607
Specificity 0.996314 0.9987857 0.8375
Pos Pred Value 0.250000 0.3333333 0.5793
Neg Pred Value 0.974174 0.9850299 0.7617
Prevalence 0.026898 0.0155409 0.3270
Detection Rate 0.001195 0.0005977 0.1506
Detection Prevalence 0.004782 0.0017932 0.2600
Balanced Accuracy 0.520379 0.5186236 0.6491
fit <- train(province ~ .,
data = train,
method = "knn",
tuneLength = 15,
metric = "Kappa", # this is new
trControl = trainControl(number = 1))
fitk-Nearest Neighbors
6707 samples
25 predictor
6 classes: 'Burgundy', 'California', 'Casablanca_Valley', 'Marlborough', 'New_York', 'Oregon'
No pre-processing
Resampling: Bootstrapped (1 reps)
Summary of sample sizes: 6707
Resampling results across tuning parameters:
k Accuracy Kappa
5 0.5662211 0.3335443
7 0.5897124 0.3626746
9 0.5953827 0.3643307
11 0.6022681 0.3694469
13 0.6083435 0.3735947
15 0.6051033 0.3662155
17 0.6030782 0.3598731
19 0.6006480 0.3528698
21 0.6083435 0.3635047
23 0.6127987 0.3709898
25 0.6119887 0.3672124
27 0.6132037 0.3679552
29 0.6103686 0.3629132
31 0.6091535 0.3605970
33 0.6103686 0.3619960
Kappa was used to select the optimal model using the largest value.
The final value used for the model was k = 13.
\[ \kappa \geq 0.5 \]
fit <- train(price ~ .,
data = train,
method = "knn",
tuneLength = 15,
trControl = trainControl(number = 1))
fitk-Nearest Neighbors
6707 samples
25 predictor
No pre-processing
Resampling: Bootstrapped (1 reps)
Summary of sample sizes: 6707
Resampling results across tuning parameters:
k RMSE Rsquared MAE
5 0.7088713 0.4838682 0.5496792
7 0.7068384 0.4844876 0.5477807
9 0.7079209 0.4825940 0.5503138
11 0.7120092 0.4761552 0.5526014
13 0.7099825 0.4789842 0.5511644
15 0.7066122 0.4840501 0.5494917
17 0.7029911 0.4897134 0.5463464
19 0.7045467 0.4880710 0.5475400
21 0.7034253 0.4902028 0.5467853
23 0.7040237 0.4907806 0.5467905
25 0.7026135 0.4933143 0.5458847
27 0.7020678 0.4946617 0.5452430
29 0.7039476 0.4932789 0.5455563
31 0.7066255 0.4905195 0.5467215
33 0.7063276 0.4918182 0.5480512
RMSE was used to select the optimal model using the smallest value.
The final value used for the model was k = 27.