Specifications

Calvin (Deutschbein)

07 February 2024

Announcements

  • Welcome to DATA-599: Cybersecurity!
  • There was no homework but is a lingering in-class exercise.
    • Not to worry! I have something for next week.
  • Let's talk about how to specify properties.

Review Question

What is a set?

  1. The name for an unordering collection of elements
  2. The name for an unordered collection of elements
  3. The name for an element in a unordered collection of elements.
  4. The name for an element in a ordered collection of elements.

Some of these are always sets, but others may be sets. Which is never a set?

Review Question

Which of the following is true for both sets and sequences

  1. Both may track the number of copies of some element in a collection
  2. Both may sort elements by saying which comes before another
  3. Both may contain, as elements, other sets or sequences.

Why would we want some of these capabilities - or not?

Review Question

We said properties were sets of something. What?

  1. States
  2. Sequences
  3. Systems
  4. Times

What would it mean to have a set of any of these things?

Review Question

We said traces were sequences of something. What?

  1. States
  2. Sequences (that is, other sequences)
  3. Systems
  4. Times

What would it mean to have a sequence of any of these things?

Review Question

We said traces were sequences of states. Sequences are ordered. How are the sequences ordered?

  1. By an ordering specific to the states themselves
  2. By a sequence (that is, some other sequence)
  3. By a feature specific to the studied systems
  4. By the times at which states occur

Why would we order states in any particular way?

Properties

  • An security policy may have properties.
  • These security policies are distinct from the what? of a threat model
  • Rather the security policy is the how? of a threat model

A security policy could be

nonresident_at_door -> door_locked

Trace Properties

  • A trace is the sequence of states through which a system passes over time.
    • A sequence is an ordering of something. So traces are in order.
    • A state is the configuration of a system at some specific time point.
    • A system here is the entity that implements the security policy
    • We emphasize the notion of over time. Traces are time-based

Sets of Traces

A set is an ordered collection of elements (such as sequences).

A sequence is an ordered collection of elements (such as states).

A trace property is a set of traces.

A trace is a sequence of states.

Organization

Example

Enumeration

Last class, we enumerated the possible traces.

property[0] = ["GREEN_"]
property[1] = ["YELLOW"]
property[2] = ["RED___"]
property[3] = ["GREEN_", "YELLOW"]

Talk

Let's do examples as a class until we feel good about them.

Enumeration

Last class, we enumerated the possible traces.

property[0] = ["GREEN_"]
property[1] = ["YELLOW"]
property[2] = ["RED___"]
property[3] = ["GREEN_", "YELLOW"]

This is bad. Why?

Specification

Rather than enumerate, let us specify.

The traffic light property is
the set of all sequences over precisely the states {"GREEN_", "YELLOW", "RED___"} 
such that 
the only state succeeding "GREEN_" is "YELLOW" and
the only state succeeding "YELLOW" is "RED___" and
the onle state succeeding "RED___" is "GREEN_".

This is still bad. Why?

Model Checking

A Kripke Structure is a tuple that models a state machine.

A state machine is a mathematical model of computation. It is an abstract machine that can be in exactly one of a finite number of states at any given time.

Model Checking

A Kripke Structure is a tuple {S, ...} that models a state machine.

  • S is a finite set of states
    • Kripke structures only work for finite state machines
    • For the sake of this class, we can imagine infinite states if needed.

Model Checking

A Kripke Structure is a tuple {S, ...} that models a state machine.

  • For a traffic light, S is:
    {"GREEN_", "YELLOW", "RED___"}
  • For a commerical airliner, S is all combinations of people on the airliner and locations on the airliner.
    • One element of S over 2 crew and 1 passenger could be:
      {["CRW1", "DECK"], ["CRW2", "SERV"], ["PSG1","SEAT"]}

Model Checking

A Kripke Structure is a tuple {S, I, ...} that models a state machine.

  • I is a subset of S, we denote this IS
    • Any state in I must be a state in S
    • There may be states in S that are not in I
    • These are the possible initial states of the state machine.

Model Checking

A Kripke Structure is a tuple {S, I, ...} that models a state machine.

  • For a traffic light, I = S
    {"GREEN_", "YELLOW", "RED___"}
  • For an airliner, I is all elements of S such that all passengers are seated.
    • One element of I and therefore S could be:
      {["CRW1", "DECK"], ["CRW2", "SERV"], ["PSG1","SEAT"]}
    • One element of S but not I could be:
      {["CRW1", "DECK"], ["CRW2", "SERV"], ["PSG1","DECK"]}

Model Checking

A Kripke Structure is a tuple {S, I, ...} that models a state machine.

  • S is a finite set of states
  • IS is the set of initial states.

Model Checking

A Kripke Structure is a tuple {S, I, R, ...} that models a state machine.

  • R is a transition relation over S, we denote this RS × S
    • This just means R says whether one state may be transitioned to from another.
    • R expresses them enumerating sequences of length two, called ordered pairs
      • A starting state
      • An ending state
      • These states are the states in S

Model Checking

A Kripke Structure is a tuple {S, I, R, ...} that models a state machine.

  • R is a transition relation over S, we denote this RS × S
    • This just means R says whether one state may be transitioned to from another.
    • R expresses them enumerating sequences of length two, called ordered pairs
  • BONUS/CHALLENGE: R is left-total.

    A binary relation RS × S is left-total if for all elements s of S there exists some ordered pair in R such that the first element of the ordered pair is s.

    RS × S is left-total ≔ ∀ s1S, ∃ s2S such that (s1,s2) ∈ R

Model Checking

A Kripke Structure is a tuple {S, I, R, ...} that models a state machine.

  • For a traffic light, R is:
    {("GREEN_", "YELLOW"),
     ("YELLOW", "RED___"),
     ("RED___", "GREEN_")}
  • For a commerical airliner, R must describe how crew may not move to the service station when passengers are present and vice versa, or some other arrangement.
    • Note: Relations may be used to to express the arrangement of people on an airliner as well as express transition relations.

Model Checking

A Kripke Structure is a tuple {S, I, R, ...} that models a state machine.

  • S is a finite set of states
  • IS is the set of initial states.
  • RS × S is a left-total transition relation.

Model Checking

A Kripke Structure is a 4-tuple {S, I, R, L} that models a state machine.

  • L is a labeling function over S, we denote this LS → ???
    • This just means L provides a way of talking about the states in S
    • We talk about these states using atomic propositions
      • Propositions are expressions in propositional, or zeroth order, logic.
      • They are simply true or false.
      • Atomic propositions are simplest possible form of these logic expressions.
    • LS → 2AP

Model Checking

A Kripke Structure is a 4-tuple {S, I, R, L} that models transitions between over atomic propositions AP.

  • L is a labeling function over S, we denote this LS → 2AP
    • Given AP, L tells us whether each is true or false (2 options) for every given state.

Model Checking

A Kripke Structure is a 4-tuple {S, I, R, L} that models transitions and AP.

  • For a traffic light, AP could be the following, expressed as a proposition set:
    {s == "GREEN_", 
     s == "YELLOW", 
     s == "RED___", 
     s ∈ {"GREEN_", "YELLOW"},
     s ∈ {"YELLOW", "RED___"},
     s ∈ {"RED___", "GREEN_"}}
  • Propositions are often named using single lower cases letters in italics beginning with p

Model Checking

A Kripke Structure is a 4-tuple {S, I, R, L} that models transitions and AP.

  • For a traffic light, AP could be the following:
    AP = 
    [p : state == "GREEN_", 
     q : state == "YELLOW", 
     r : state == "RED___", 
     s : state ∈ {"GREEN_", "YELLOW"},
     t : state ∈ {"YELLOW", "RED___"},
     u : state ∈ {"RED___", "GREEN_"}]
  • Then the L would be given as :
    {("GREEN_", {p, s, u}), 
     ("YELLOW", {q, s, t}),
     ("RED___", {r, t, u})}

Model Checking

A Kripke Structure is a 4-tuple {S, I, R, L} that models transitions and AP.

  • For a commercial airliner, we may want to use AP more intentionally:
    • Let p denote there are passengers at the service station.
    • Let q denote there are crew at the service station.
    • Let r denote there all passengers are seated.
    • Let s denote at least two crew are in the flight deck.

Model Checking

A Kripke Structure is a 4-tuple {S, I, R, L} that models transitions and AP.

  • S is a finite set of states
  • IS is the set of initial states.
  • RS × S is a left-total transition relation.
  • LS → 2AP is the labelling relation.

Model Checking

A Kripke Structure is a 4-tuple {S, I, R, L} that models transitions and AP.

  • S is a finite set of states and IS is the set of initial states.
  • {"GREEN_", "YELLOW", "RED___"}
  • RS × S is a left-total transition relation.
  • {("GREEN_", "YELLOW"), 
     ("YELLOW", "RED___"), 
     ("RED___", "GREEN_")}
  • LS → 2AP is the labelling relation.
  • {("GREEN_", {p, s, u}),
     ("YELLOW", {q, s, t}), 
     ("RED___", {r, t, u})}

A Kripke Structure modelling a traffic light is the 4-tuple...

({"GREEN_", "YELLOW", "RED___"}, 
 {"GREEN_", "YELLOW", "RED___"}, 
 {("GREEN_", "YELLOW"), 
  ("YELLOW", "RED___"), 
  ("RED___", "GREEN_")}, 
 {("GREEN_", {p, s, u}),
  ("YELLOW", {q, s, t}), 
  ("RED___", {r, t, u})})

...over AP...

[p : state == "GREEN_",  
 q : state == "YELLOW",  
 r : state == "RED___",  
 s : state ∈ {"GREEN_", "YELLOW"},
 t : state ∈ {"YELLOW", "RED___"},
 u : state ∈ {"RED___", "GREEN_"}]

Model Checking

A Kripke Structure is a 4-tuple {S, I, R, L} that models transitions and AP.

  • This is still bad. Why?

Diagrams

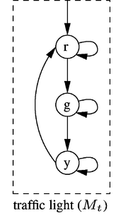
Now that I've rigorously defined Kripke Structures, I am willing to tell you they are just diagrams.

  • Clarke, Edmund & Grumberg, Orna & Jha, Somesh & Lu, Yuan & Veith, Helmut. (2003). Counterexample-guided abstraction refinement for symbolic model checking. J. ACM. 50. 752-794. 10.1145/876638.876643.

Diagrams

This differs from ours, but only slightly.

  • The proposition labels are the same as the state name initials.
  • r is the only accepted starting state.
  • States are allowed to transition to the themselves
    • Think of this is a distinct notion of time.
      • I describe the only thing that changes time as a change in state.
      • If we imagine that there is a transition every second, the green-to-green is needed.

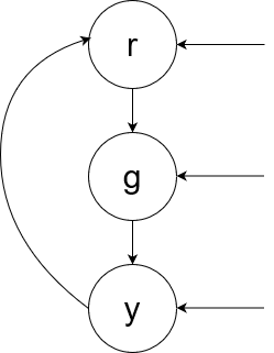
Diagrams

  • We borrow the initials-labels trick.
  • We allow all starting states.
  • We do not have states transition to themselves.

Diagrams

A Kripke Structure is a 4-tuple {S, I, R, L}

  • S is the states, in blue.

Diagrams

A Kripke Structure is a 4-tuple {S, I, R, L}

  • S is the states, in blue.
  • I is the inital states, in orange.
  • R is the relations, in purple.

Diagrams

A Kripke Structure is a 4-tuple {S, I, R, L}

  • S is the states, in blue.
  • I is the inital states, in orange.
  • R is the relations, in purple.
  • L is the labels, in black.

Your turn!

A commercial airliner threat model concerns crew and passengers, a flight deck and a service station. Draw a Kripke Structure and specify

  • S is a finite set of states
  • IS is the set of initial states.
  • RS × S is a left-total transition relation.
  • LS → 2AP is the labelling relation.

Form groups of 2-4 and create a document of a format accessible to you. I used HTML. [up to 60 min]

Homework

Identify something in your life (an app, a work thing, a building, a company) with security features.

  • It may be the same or a different thing.
  • You may wish to focus on a small part of your previous example, in the case of more complex systems.
  • Update you diagram to be a Kripke Structure.
  • Fully specify each of {S, I, R, L}

Be ready to present your document at 6 PM on 14 Feb!

// reveal.js plugins